Gestió forestal: indicadors estadístics


Alternative title
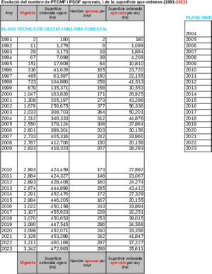
Gestió forestal. Evolució de l'ordenació forestal de forests públiques
Gestió forestal. Evolució dels boscos privats
Gestió forestal. Repoblacions
Gestió forestal. Rompudes
Descripció analítica de l'evolució de l'ordenació forestal
Document Type
Report
Document version
Submitted version
Resum
En aquests arxius trobareu dades estadístiques bàsiques relacionades amb l’evolució de l’ordenació forestal a Catalunya segons els Instruments d’ordenació forestal aprovats anualment i els acumulats vigents, tant pel que fa als boscos públics com privats. També es pot consultar les actuacions forestals, rompudes i repoblacions que es fan cada any per comarca.Note
Medio ambiente--Análisis de impacto--Cataluña; Seguimiento ambiental; Indicadores ambientales; Repoblación forestal; Bosques y silvicultura--Datos estadísticos; Roturación; Environment--Impact analysis--Catalonia; Environmental monitoring; Environmental impact assessment; Environmental indicators; Forests and forestry; Environmental statistics; Reforestation; Clearing
Recommended citation
Generalitat de Catalunya. (2023). Gestió ambiental: indicadors estadístics. Generalitat de Catalunya.
Author
Collaborators
Language
Catalan
Publisher
Generalitat de Catalunya
Publication date
2023Extension
2 p.; 4 taules
Subject (LEMAC)
Documents to download
This item appears in the following Collection(s)
Rights
Except where otherwise noted, this item's license is described as http://creativecommons.org/licenses/by/4.0/
Related Items
Displaying related items by Title and Subject.
-
Flora: indicadors estadístics
Generalitat de Catalunya (2025)En aquests fitxers hi trobareu dades estadístiques bàsiques relacionades amb totes les espècies de flora que hi ha a Catalunya i que tenen algun grau de protecció segons les diverses normatives que ... -
Aigua. Sistemes fluvials: indicadors estadístics
Generalitat de Catalunya (2024)En aquests fitxers trobareu les dades estadístiques sobre els sistemes sistemes fluvials i dels embassaments analitzats per conques, any i temporades oferint indicadors de volum d'aigua, cabal, longitud ... -
Medi atmosfèric. Qualitat de l'aire: indicadors estadístics
Generalitat de Catalunya (2023)En aquests arxius es presenten diverses estadístiques de la qualitat de l’aire a Catalunya. Podeu consultar els nivells dels diferents contaminants principals que afecten a la qualitat de l’aire (NO₂, ...









